ChatGPT can now see, hear, and understand, and it is impressive
ChatGPT Plus Subscribers get access to the "vision" module which can understand and analyze images
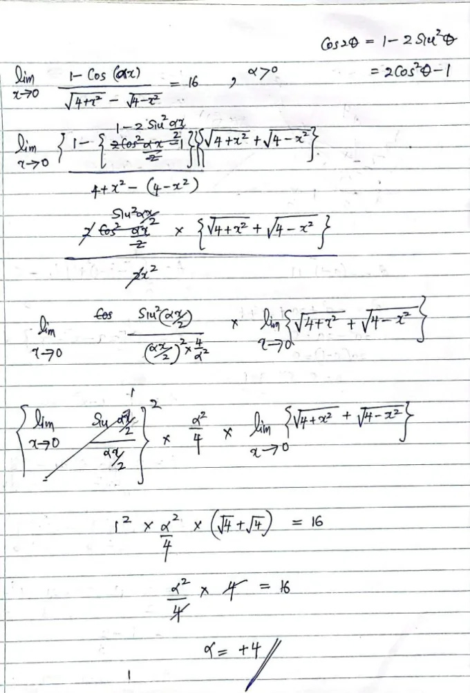
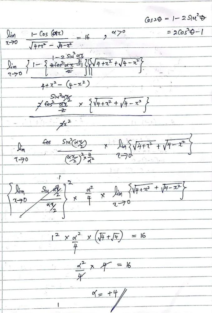
If you’ve subscribed to the paid version of ChatGPT, you should now be able to upload images or photographs and ask ChatGPT questions about that image. This seems like a minor thing until you see examples of what it can do. So here is one example to blow your mind. I downloaded this random math problem from the internet that I found via a Google search:
And I asked ChatGPT to explain it to me.
This is what ChatGPT replied with:
Clearly, this is not right. But, in ChatGPT’s defence, the handwriting here is rather bad. So no wonder ChatGPT made a mistake in “reading” it. I stopped ChatGPT at this point and gave it a little nudge:
At this point, the extra diligent reader will notice that it has skipped some steps around #6. But you know what is good about ChatGPT? You can keep asking it follow-up questions and it will patiently answer. So here goes:
By the way, if you use ChatGPT app on your phone, then you don’t even have to type your questions. You can just talk to it and it understands.
We are all at a stage where we can’t even imagine the ways in which tools like ChatGPT will change our lives in the near future.
Over the next few days, I will try to write some more articles with interesting examples of using ChatGPT’s new abilities.






Yes, it is getting pretty intriguing.
> We are all at a stage where we can’t even imagine the ways in which tools like ChatGPT will change our lives in the near future.
See this SaaS code from a screenshot. Figma diagrams can get converted to a decent chunk of code, some developer efforts would be required though.
https://twitter.com/mckaywrigley/status/1707047423863136687